Khan Academy (English - US curriculum)
Math
Get ready for Geometry
Get ready for conic sections
Factoring quadratics intro
Factoring quadratics intro
Factoring quadratics as (x+a)(x+b)
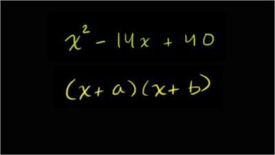
Factoring quadratics as (x+a)(x+b) (example 2)
More examples of factoring quadratics as (x+a)(x+b)
Factoring quadratics intro
Factoring quadratics with a common factor