Vectors

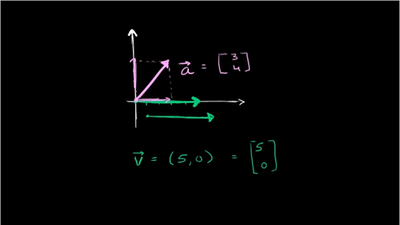
We will begin our journey through linear algebra by defining and conceptualizing what a vector is (rather than starting with matrices and matrix operations like in a more basic algebra course) and defining some basic operations (like addition, subtraction and scalar multiplication).