Khan Academy (English - US curriculum)
Math
AP®︎ Calculus BC
Integration and accumulation of change
Finding antiderivatives and indefinite integrals: basic rules and notation: definite integrals
Finding antiderivatives and indefinite integrals: basic rules and notation: definite integrals
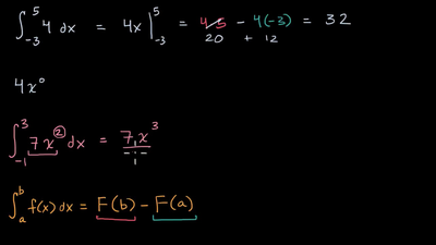
Definite integrals: reverse power rule
Definite integrals: reverse power rule
Definite integral of rational function
Definite integral of radical function
Definite integral of trig function
Definite integral involving natural log
Definite integrals: common functions
Definite integral of piecewise function
Definite integral of absolute value function
Definite integrals of piecewise functions