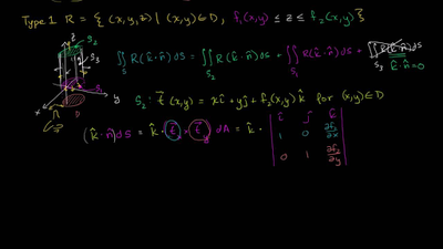
Divergence theorem proof

You know what the divergence theorem is, you can apply it and you conceptually understand it. This tutorial will actually prove it to you (references types of regions which are covered in the "types of regions in 3d" tutorial).